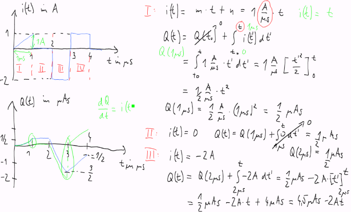
2018-08-13_magdowski_video-nachbesprechungen_bild.png Zurück